В шестидесяти домах округа обновят фасады
- четверг, 1 авг 2019, 15:05
-
3
-
1.3K
- четверг, 1 авг 2019, 15:05
-
3
-
1.3K
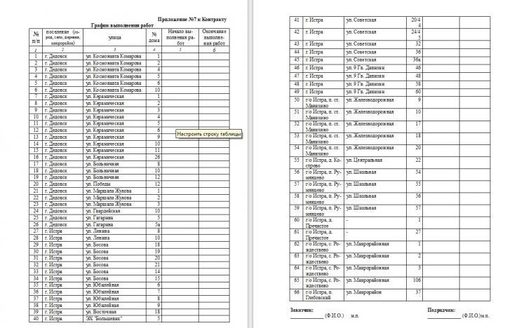
Электронный аукцион на выполнение работ по окраске фасадов жилых многоквартирных домов, находящихся в управлении МУП "Истринское ЖЭУ", размещён на днях.
Согласно документам технического задания, срок выполнения работ указан с момента заключения контракта по 31 октября 2019 года включительно. Подрядчик же должен определиться уже в первых числах августа.
С поадресным списком домов, указанных в графике выполнения работ, вы можете ознакомиться уже сейчас.
