Что нам стоит… забор построить?
- четверг, 31 май 2018, 15:43
-
3
-
3.1K
- четверг, 31 май 2018, 15:43
-
3
-
3.1K
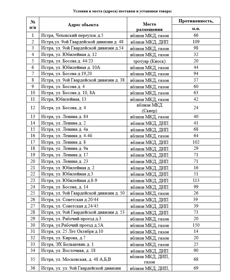
За счёт средств бюджета городского округа Истра во дворах, скверах, тротуарах в г.о. Истра устанавливаются газонные (бульварные) ограждения, об этом Истра.РФ рассказали в Управлении по информационной политике администрации г.о. Истра.
В сообщении уточняется, что работы по монтажу ограждений ведутся силами МБУ «ДОДХТБИМР». Их общая протяжённость составит более 4 500 метров. Ограждения будут установлены на территории Истры, Дедовска и п. Глебовский.
По каким критериям отбирались места установки газонного ограждения, не сообщается. Возможно, по количеству жалоб местных жителей на нарушителей парковки, образумить которых одними штрафами, судя по всему, не получилось.
К слову, поставка и установка окрашенных декоративных газонных и бульварных ограждений на территории городского округа Истра - работа не из дешёвых. Начальная (максимальная) цена контракта, согласно документации, составляла более 8 миллионов рублей. Однако муниципальному заказчику удалось заключить контракт на сумму менее чем 4 миллиона рублей. Победителем тендера стало ООО "КОНСТРУКТОР". Остаётся надеяться, что на качестве выполненных работ этот факт никак не отразится.
Условия и места (адреса) поставки и установки следующие:

