В окрестностях Истры подготовили 11 локаций для посадки деревьев
- пятница, 16 сен 2022, 11:41
-
0
-
2.3K
- пятница, 16 сен 2022, 11:41
-
0
-
2.3K
17 сентября на территории городского округа Истра пройдёт ежегодная экологическая акция «Наш Лес. Посади своё дерево». Присоединиться к доброму делу и высадить новые деревца смогут все желающие.
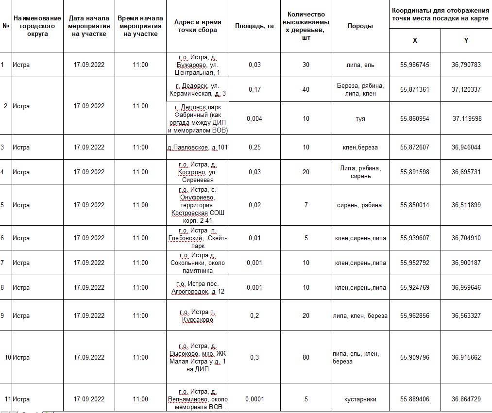
В муниципалитете подготовлено 11 мест для проведения акции. Высадить можно будет саженцы липы, ели, березы, рябины, туи, клёна и сирени. Сотрудники местного МБУ предоставят всем желающим инвентарь и окажут помощь при посадке деревьев. Всего за день планируют высадить в округе порядка 250 саженцев.
Локации с координатами проведения акции следующие:

С собой необходимо захватить хорошее настроение и не забыть одеться в соответствии с погодными условиями.